2020-06-02 19:09:00
药物的含量是指药物中所含主成分的量,是评价药物质量的重要指标。药物的含量通常运用化学、物理学或生物学及微生物学的方法测定,它是评价药物质量的主要手段,也是药物质量标准的重要内容。药物的含量测定可分为两大类,即基于化学或物理学原理的“含量测定”和基于生物学原理的“效价测定”。其中,效价测定法(包括生物检定法、微生物检定法、酶法)的方法建立与验证过程各具特殊性,本章将主要探讨基于化学或物理学的“含量测定”。
药物含量测定的分析方法主要包括:容量分析法(滴定法)、光谱分析法和色谱分析法。其中,容量分析法操作简便,结果准确,方法耐用性高,当方法缺乏专属性,主要适用于对结果准确度与精密度要求较高的药品测定;光谱分析法简便快速,灵敏度高,并具有一定的准确度,但方法专属性稍差,主要适用于对灵敏度要求较高、样本量较大的分析项目;色谱分析法则具有高灵敏度与高专属性,并具有一定的准确度,但其结果计算需要对照品,本法主要使用于对方法的专属性与灵敏度要求较高的复杂样品的含量测定。
一、容量分析法
容量分析法(也叫滴定法),是将已知浓度的滴定液(标准物质溶液)由滴定管滴加到被测药物的溶液中,直至滴定液中的标准物质(常称为滴定剂)与被测药物反应完全(通过适当方法指示),然后根据滴定液中滴定剂的浓度(一般称为滴定液浓度)和被消耗的体积,按化学计量关系计算出被测药物的含量。
(一)容量分析法的特点与使用范围
1.容量分析法的特点
(1)方法简便易行:本法所用仪器价廉易得,操作简便、快速。
(2)方法耐用性高:影响本法测定的试验条件与环境因素较少。
(3)测定结果准确:通常情况下本法的相对误差在0.2%以下,适用于对准确度要求较高的试样的分析。
(4)方法专属性差:本法对结构相近的有关物质或其他干扰测定的杂质缺乏选择性,故一般适用于主成分含量较高的试样的分析。
2.容量分析法的使用范围
由于容量分析法具有以上特点,被广泛应用于化学原料药物的含量测定,而较少应用于药物制剂的含量测定。
(二)容量分析法的有关计算
1.滴定度
指每1ml规定浓度的滴定液所相当的被测药物的质量,《中国药典》用毫克(mg)表示。例如用碘量法测定维生素C的含量时,ChP规定:每1ml碘滴定液(0.05mol/L)相当于8.806mg的C6H8O6(维生素C)。
2.滴定度的计算通式
T(mg/ml)=m×(a/b)×M
式中,m为滴定液的摩尔浓度(mol/L);a、b分别为滴定反应式中被测药物与滴定剂的摩尔数;M为被测药物的毫摩尔质量(分子量,以mg表示)。

3.含量的计算
此法测定药物含量时候,有直接滴定和间接滴定两种。
(1)直接滴定法:本法是用滴定液直接滴定被测药物,则被测药物的百分含量计算公式如图所示,

式中,W是称取量,V是消耗体积,T是滴定度
(2)间接滴定法:包括生成物滴定法和剩余量滴定法。
二、光谱分析法
光谱分析法所用的波长范围包括从紫外区至红外区。所用仪器为紫外分光光度计、可见分光光度计、红外分光光度计、荧光分光光度计、原子吸收分光光度计,以及光散射计和拉曼光谱仪。
《中国药典》收载的常用的分光光度法有:紫外-可见分光度法、红外分光度法和原子吸收分光光度法等。
(一)紫外-可见分光光度法
本方法是在190~800nm波长范围内测定物质的吸光度,用于药物的鉴别、杂质检查和定量测定的方法。
1.朗伯比尔定律
在一定的浓度范围内被该物质吸收的量与该物质的浓度和液层的厚度成正比,如图式子:

2.方法特点与适用范围
(1)鉴别易行:本法使用的仪器价格较低廉,操作简单,易于普及。
(2)灵敏度高:本法灵敏度可达10-6g/ml,适用于低浓度试样的分析。
(3)准确度较高:本法的相对误差不大于2%,适用于对测定结果的准确度有较高要求的试样的分析。
(4)专属性较差:本法通常不受一般杂质的干扰,但对结构相近的有关物质缺乏选择性。
3.仪器校正和检定
(1)波长:由于环境的影响,仪器的波长经常会略有变动。除了应定期对所用仪器进行全面校正检定外,还应于测定前校正测定波长。
(2)吸光度的准确度:可用重铬酸钾的硫酸溶液检定。
(3)杂散光的检查:可按照表格4-2所累的试剂和浓度,制成水溶液,置1cm石英吸收池中,在规定的波长处测定透光率,应符合规定。

三、色谱分析法
色谱分析法是一种分离分析方法,是根据混合物中被分离物质的色谱行为差异,将各组分从混合物中分离后再选择性对被测组分进行分析的方法。因此色谱分析法是分析混合物的最有力手段。色谱分析法分为:
1.依据分离方式分类
可分为纸色谱法、薄层色谱法、柱色谱法、气相色谱法、高效液相色谱法等。
2.依据分离原理分类
可分为吸附色谱法、分配色谱法、离子交换色谱法与分子排阻色谱法(凝胶色谱法)等。
(一)高效液相色谱法(HPLC)
1.方法的特点与适用范围:
(1)高灵敏度:根据检测器的不同,HPLC的最低检出浓度可达10-12~10-9g/ml。
(2)高专属性:HPLC可有效分离复杂基质样品中与被测组分结构相近的有关杂质或无关干扰物,检测信号具有较高的专属性,可实现对被测组分的选择性检测。
(3)高效能与高速度:HPLC通常可在10~20分钟内完成药物的定量分析,或在30分钟内完成药物复方制剂中多组分同时定量测定,也可在60分钟内完成药物中有关物质的分离与同时定量。
2.测定法
定量测定时,可根据供试品或仪器的具体情况以峰面积或峰高计算。目前大多数以峰面积计算。常用两种方法如下:
(1)内标法:按各品种项下规定,精密称定药物对照品和内标物质,分别制成溶液,各精密量取适量,混合制成校正因子测定用的对照溶液。取一定量注入仪器,记录色谱图。分别测量药物对照品和内标物质色谱峰面积或峰高,按式子计算校正因子f:

式中,AS为内标物质的峰面积(或峰高);AR为药物对照品的峰面积(或峰高);CS为内标物质的浓度;CR为对照品的浓度。
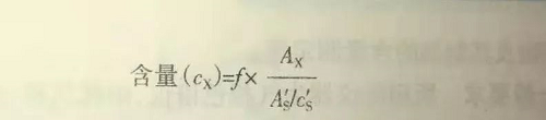
再取各品种项下含有内标物在的供试品溶液,进样,记录色谱图,测量供试品中被测物质和内标物质色谱峰的峰面积或峰高,按式子计算含量:

式中,AX为供试品中被测药物的峰面积(或峰高);cX为供试品溶液的浓度;f为校正因子;A'S和c'S为内标物质的峰面积(或峰高)和浓度。
采用内标法,可避免因供试品前处理及进样体积误差对结果的影响。
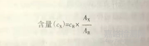
(2)外标法:按各品种项下的规定,精密称量对照品和供试品,制成溶液,分别精密取一定量,进样,记录色谱图,测量对照品溶液和供试品溶液中被测物质的峰面积(或峰高),按式子计算含量:

式中,AX为供试品中被测药物的峰面积(或峰高);AR为药物对照品的峰面积(或峰高); CR为对照品的浓度。
外标法简便,但要求进样量准确及操作条件稳定。由于微量注射器不易精确控制进样量,当采用外标法测定含量时,以手动进样器定量环或自动进样器进样为宜。
(二)气相色谱法(GC)
气相色谱法采用气体为流动相(载气)流经装有填充剂的色谱柱进行分离测定的色谱方法。物质或其衍生物气化后,被载气带入色谱柱进行分离,各组分先后进入检测器,用数据处理系统记录色谱信号。
1.方法的特点与适用范围
本法主要应用于具有挥发性或其衍生物具有挥发性的药物及其相关物质的分析,在ChP2015中被广泛应用于残留溶剂测定法,也应用于水分测定法、酒剂或酊剂中甲醇量检查法等相关杂质的检查和维生素E等部分脂溶性较强的药物及其制剂的含量测定等。
2.测定法
分为内标法、外标法及加入法测定。内标法、外标法同高效液相色谱法,这里主要介绍加入法:
精密称取被测组分对照品适量,制成适当浓度的对照品溶液,取一定量,精密加入至供试品溶液中,根据外标法或内标法测定被测组分含量,再扣除加入的被测组分对照品的量,即得供试品中被测组分的含量。
由于加入对照品溶液前后校正因子应相同,即:

式中,cX为供试品中被测组分X的浓度;AX为供试品中被测组分X的色谱峰面积;△cX为所加入的已知浓度的被测组分的对照品的浓度;Ais为加入对照品后被测组分X的色谱峰面积。
由于气相色谱法的进样量一般仅数微升,为减小进样误差,尤其当采用手动进样时,由于留针时间和室温等对进样量也有影响,故以采用内标法定量为宜;若采用自动进样器进样时,由于进样重复性的提高,在保证分析误差的前提下,也可采用外标法定量。
当采用顶空进样时,由于供试品和对照品处于不完全相同的基质中,故可采用标准溶液加入法以消除基质效应的影响;当标准溶液加入法与其他定量方法结果不一致时,应以标准溶液加入法结果为准。
我们珍惜您每一次在线咨询,有问必答,用专业的态度,贴心的服务。
让您真正感受到我们的与众不同!

为了提供更好的合作体验,我们提供专业的专线咨询和上门洽谈服务

关于产品的使用、售后服务等各种常见问题

从销售支持到后期维护,我们提供全方位360°的立体化服务,只为您的至臻追求